• 您所在的位置:
  • 首页
  • 走进兴业
  • 兴业公告
  • 公司公告
  • 正文
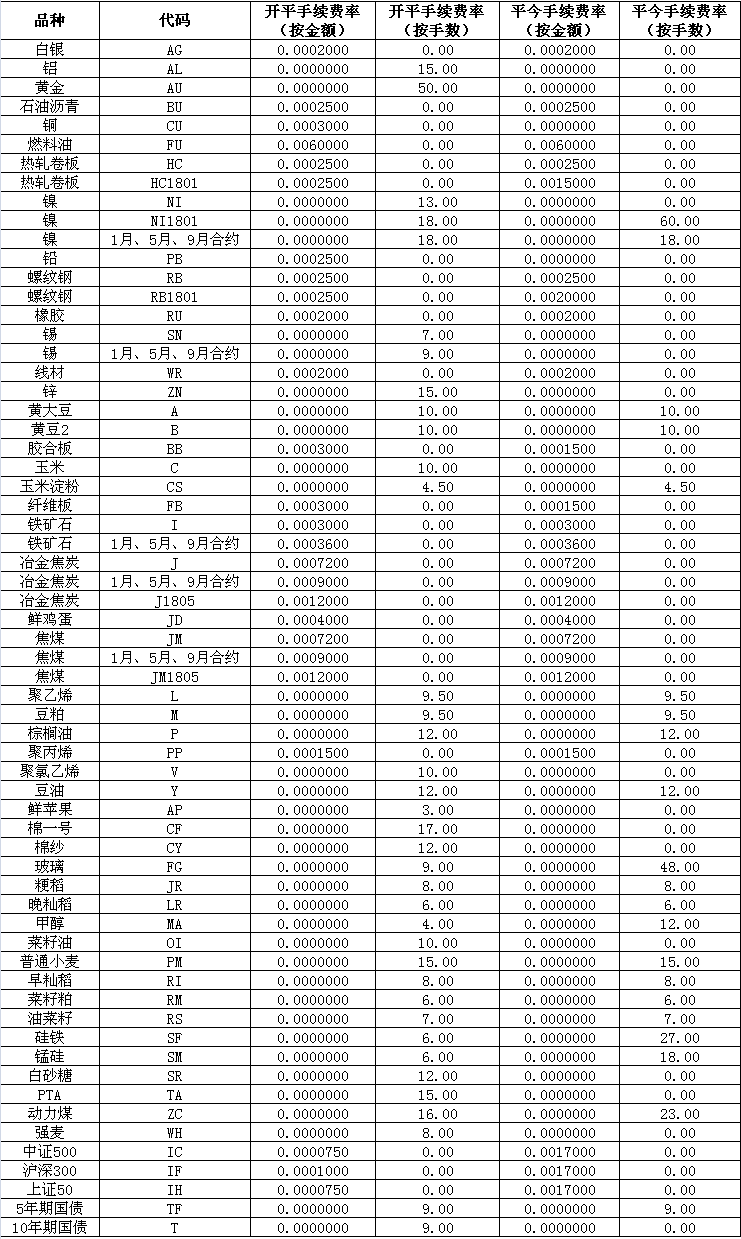
兴业期货有限公司手续费收取标准
时间:2017-12-29

手续费-1.png

手续费-2.png

 

上一篇:关于调整菜油期货合约交易保证金比例的通知
下一篇:关于中金所升级技术系统前端风控功能的通知
关闭本页 打印本页